Medical Pharmacology Chapter 35 Antibacterial Drugs
Penicillin overview
Penicillin is
classified as a β-lactam antibiotic.
The structure
features a ß-lactam ring characterized by a cyclic
amide in which the nitrogen atom is bonded to the
carbonyl group's β-carbon atom.
In the case of penicillin the
nitrogen atom is a constituent of the thiazolidine
ring (See below)
The combined structure (above) is a "penam
ring." Penicillin, independent of the form, will
contain a penam ring. The difference between one
penicillin in another type resides in differing R
groups.
Attribution
ChemTalk
Penicillin: A Biochemical
Perspective.
https://chemistrytalk.org/penicillin-a-biochemical-perspective/
"All but two types of bacteria (Mycoplasma
and L-form bacteria) have a cell wall.
The cell wall,
in bacteria that have it, is reinforced by an outer
membrane made of peptidoglycan.
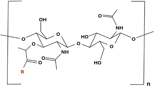
Each
peptidoglycan monomer consists of two sugars: N-acetylmuramic
acid (NAM), which is also attached to a tetrapeptide,
and N-acetylglucosamine (NAG).
The four
peptides within the tetrapeptide are diverse across
different bacterial species.
Tetrapeptide
chains of individual monomers cross-link to form a
mesh-like crystal lattice around the exterior of the
bacterial cell." 13
(See figure below)
Peptidoglycan monomer in
which the R group (red) represents a tetrapeptide.13
"The peptidoglycan polymer, with the
monomer highlighted in red.
Note the tetrapeptides (multicolored
circles) attached to the NAM in each monomer.
The tetrapeptides chains of
parallel monomers are cross-linked (green),
forming the lattice."13
NAM: N-acetyl muramic acid
NAG: N-acetylglucosamine
The NAG monomers link to NAM,
creating the disaccharide unit.
These units alternate, forming
long chains utilizing beta-1, 4-glycosidic
bonds.
Attribution
ChemTalk
Penicillin: A Biochemical
Perspective.
https://chemistrytalk.org/penicillin-a-biochemical-perspective/
Peptidoglycans maintain bacterial
cell structure by surrounding the bacterial cell
with a scaffolding-like structure.
DD transpeptidase may be referred
to as serine-typeD-Ala-D-Ala carboxypeptidase.
In recognition of the
interaction between the transpeptidase and
penicillin, DD-transpeptidase is commonly
referred to as PBP or Penicillin-Binding
Protein.14
Attribution
Omargs10, CC BY-SA 4.0 <https://creativecommons.org/licenses/by-sa/4.0>,
via Wikimedia Commons
https://commons.wikimedia.org/wiki/File:DD-Transpeptidase.png
(March 2, 2016).
Penicillin G (2D) Penicillin
G (3D) Penicillin
V (3D)
Penicillins, and all β-lactam antibiotics, are defined by their
unique chemical architecture.
The core of the penicillin molecule is a bicyclic system
known as the penam nucleus.
The beta-lactam ring
is essential for penicillin
activity.4
The carbon atom C of the lactam
C=O is very susceptible to
nucleophilic attack.
The carboxylic acid moiety
contributes to the binding of
penicillin to the active site of
the transpeptidase enzyme.
The reactivity of the
beta-lactam ring results in
penicillin being susceptible to
inactivation following nucleophilic
acyl substitution reactions, forming
a penicilloic acid.
Enhancement of
penicillin stability may be
accomplished by electron-withdrawing
substituents at the side chain.
The effect of the
substitution is to make the
amide carbonyl less reactive.4
An example of this
effect can be illustrated using the
to antibiotics under present
consideration, Penicillin G and
Penicillin V.
This oxygen has
the effect of decreasing
nucleophilicity of the amide
carbonyl group, reducing its
reactivity with the internal
beta-lactam ring.
A
consequence of addition of
this oxygen (green) is that
Penicillin G is sufficiently
stable in the acidic stomach
environment such that this
medication may be orally
administered.
By
contrast, lacking this
oxygen, Penicillin V can not
maintain its structure in
the acidic stomach
environment and therefore
must be administered by the
intravenous route of
administration.
The top figure is a
slight modification of the first
figure in reference 4; whereas the
second figure above corresponds to
the fourth figure in reference 4,
Noted below.
Futurelearn Mode of Action of
Penicillin.
https://www.futurelearn.com/info/courses/everyday-chemistry/0/steps/22314
Future Learn:
https://www.futurelearn.com/
Chemically
definition(2S,5R,6R)-3,3-dimethyl-7-oxo-6-[(2-phenylacetyl)amino]-4-thia-1-azabicyclo[3.2.0]heptane-2-carboxylic
acid.
A defining feature is the benzyl (phenylacetyl) group that
constitutes its side chain.9
Attribution
Benzylpenicillinic
(Molecule of the Week Archive; July 9,
2018)
American Chemical Society
https://www.acs.org/molecule-of-the-week/archive/b/benzylpenicillin.html
Penicillin G has also been known as benzylpenicillin
or benzylpenicillinic acid.9
In its free acid form, penicillin G is a white
crystalline powder that is only sparingly soluble in
water and is chemically unstable, particularly in
aqueous solutions.
To overcome limitations with the free acid form,
penicillin G is formulated for example, as its
potassium salts, which are much more water-soluble
and stable, allowing for parenteral (intravenous or
intramuscular) administration.
To address this pharmacokinetic challenge,
long-acting "depot" or "repository" formulations
were developed.
These involve creating salts with large
organic bases, such as procaine or
benzathine, which are far less soluble
in water.11,12
When injected intramuscularly, these salts
form a depot from which the active
penicillin G is slowly hydrolyzed and
absorbed into the circulation over an
extended period.
Procaine penicillin G provides therapeutic
concentrations for approximately 24 hours11,
while benzathine penicillin G can maintain
low but effective levels for two to four
weeks.12
August, 2025




![]()
Bacterial
cell survival requires stability of this
structure which depends on cross-linking the
tetrapeptides to form the peptidoglycan layer.13
This
cross-linking specifically depends on the activity
of an enzyme, DD-transpeptidase, and penicillins
inhibit the activity of this enzyme by forming a
stable penicilloyl-enzyme intermediate.13,14

![]()





This form does not exhibit
antibiotic activity.

![]()
![]()

|
This Web-based pharmacology and disease-based integrated teaching site is based on reference materials, that are believed reliable and consistent with standards accepted at the time of development. Possibility of human error and on-going research and development in medical sciences do not allow assurance that the information contained herein is in every respect accurate or complete. Users should confirm the information contained herein with other sources. This site should only be considered as a teaching aid for undergraduate and graduate biomedical education and is intended only as a teaching site. Information contained here should not be used for patient management and should not be used as a substitute for consultation with practicing medical professionals. Users of this website should check the product information sheet included in the package of any drug they plan to administer to be certain that the information contained in this site is accurate and that changes have not been made in the recommended dose or in the contraindications for administration. Advertisements that appear on this site are not reviewed for content accuracy and it is the responsibility of users of this website to make individual assessments concerning this information. Medical or other information thus obtained should not be used as a substitute for consultation with practicing medical or scientific or other professionals. |